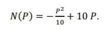
Dos 3.250 candidatos inscritos em um concurso público com 160 vagas e apenas a aplicação de uma prova objetiva, 1,6% não compareceram para realizar a prova. Com base em eventos anteriores, os organizadores do certame conseguiram modelar o número N de candidatos que acertam o percentual P de questões da prova objetiva pela função

Com base nessas informações, julgue o item que se segue.
De acordo com o modelo estabelecido, a quantidade de candidatos que acertará 80% das questões da prova objetiva é igual ao número de vagas oferecidas.

Com base nessas informações, julgue o item que se segue.
De acordo com o modelo estabelecido, a quantidade de candidatos que acertará 80% das questões da prova objetiva é igual ao número de vagas oferecidas.