Magna Concursos
499833 Ano: 2015
Disciplina: Matemática
Banca: NUCEPE
Orgão: SEDUC-PI
Provas:

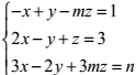
O sistema linear enunciado 499833-1 é possível e indeterminado se:

 

Provas

Questão presente nas seguintes provas

Professor - Matemática

40 Questões