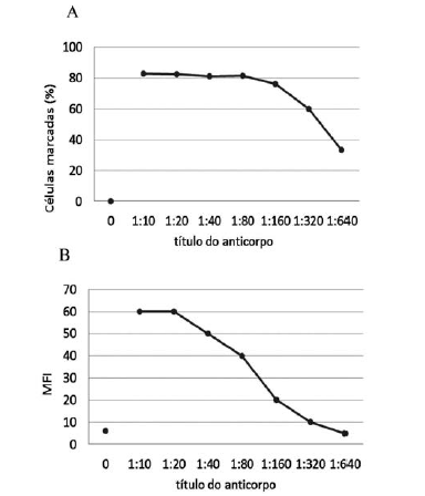
Considere as curvas a seguir referentes à titulação de um anticorpo e marque a alternativa correta. A curva A representa o percentual de células positivas para o marcador; a curva B representa o valor de MFI (baseado na mediana) e 0 representa o controle negativo da marcação.
