Magna Concursos
891088 Ano: 2019
Disciplina: Química
Banca: Marinha
Orgão: Marinha

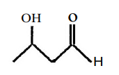
Qual a nomenclatura IUPAC da molécula abaixo?

enunciado 891088-1

 

Provas

Questão presente nas seguintes provas

Corpo Auxiliar de Praças - Química

50 Questões