Em uma indústria química, o aparato ilustrado na Figura
abaixo é utilizado para automatizar a mistura de dois reagentes.
Nos Tanques 1 e 2 estão armazenados os reagentes
que deverão ser misturados no Tanque 3. O sistema
que controla a quantidade de cada reagente a ser despejada
no Tanque 3 é formado por um circuito lógico digital
combinacional e um contador binário de três bits, em que
o bit X0
é o menos significativo, e o X2
é o mais significativo.
Esse controlador é o responsável por comandar a
abertura e o fechamento das válvulas V1
e V2 .
A base de tempo do contador binário é definida através do sinal de relógio CLK, ilustrado no gráfico abaixo. Além disso, o contador inicia a sua operação em t = 0 s no estado X2 X1 X0 = 000.
Para ajustar a quantidade desejada de cada reagente a ser despejada no Tanque 3, as válvulas V1 e V2 devem ser acionadas, conforme mostrado nos gráficos a seguir, onde o estado 1 (nível lógico alto) mantém a válvula aberta, e o estado 0 (nível lógico baixo) mantém a válvula fechada.
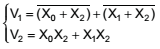
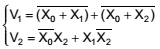
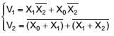
Dessa forma, quais são as funções lógicas booleanas que o circuito lógico deve realizar para controlar o acionamento das válvulas V1 e V2 conforme a especificação do projeto?
A base de tempo do contador binário é definida através do sinal de relógio CLK, ilustrado no gráfico abaixo. Além disso, o contador inicia a sua operação em t = 0 s no estado X2 X1 X0 = 000.
Para ajustar a quantidade desejada de cada reagente a ser despejada no Tanque 3, as válvulas V1 e V2 devem ser acionadas, conforme mostrado nos gráficos a seguir, onde o estado 1 (nível lógico alto) mantém a válvula aberta, e o estado 0 (nível lógico baixo) mantém a válvula fechada.
Dessa forma, quais são as funções lógicas booleanas que o circuito lógico deve realizar para controlar o acionamento das válvulas V1 e V2 conforme a especificação do projeto?