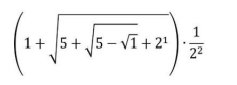
Marque a alternativa em que encontra-se o resultado da seguinte expressão numérica:

Provas
Questão presente nas seguintes provas
Agente - Portaria
40 Questões
Auxiliar de Zeladoria
40 Questões
Marque a alternativa em que encontra-se o resultado da seguinte expressão numérica:
