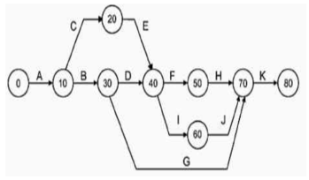
Os diagramas PERT-CPM permitem que sejam indicadas as relações lógicas de precedência entre as inúmeras atividades de um projeto.

Com base nessas informações e considerando o diagrama apresentado, é correto afirmar que
Provas
Questão presente nas seguintes provas
Analista Metroferroviário - Engenharia Civil
50 Questões