3346176
Ano: 2014
Disciplina: TI - Desenvolvimento de Sistemas
Banca: FUNCAB
Orgão: Câm. Vitória-ES
Disciplina: TI - Desenvolvimento de Sistemas
Banca: FUNCAB
Orgão: Câm. Vitória-ES
Provas:
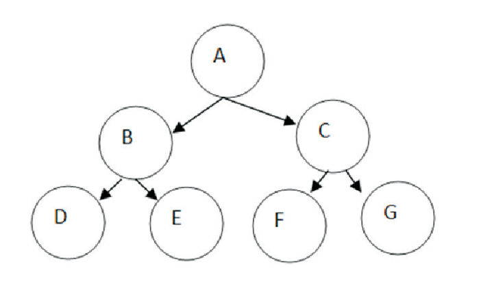
Considere a seguinte árvore binária.

A ordenação de busca nessa árvore em sequência de intraordem, é: