Magna Concursos
2888824 Ano: 2023
Disciplina: Matemática
Banca: FUNDATEC
Orgão: IFFar

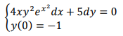
A solução do seguinte problema de valor inicial, é igual a:

Enunciado 3166608-1

 

Provas

Questão presente nas seguintes provas

Professor PEBTT - Matemática

40 Questões