Um circuito ∆ é apresentado na Figura 1 a seguir:
Dados: RA = 40 Ω, RB = 15 Ω, RC = 20 Ω Figura 1
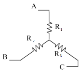
O circuito equivalente em Y é apresentado na Figura 2 a seguir:
Figura 2
Assinale a alternativa que apresenta os valores para R1, R2 e R3 no circuito equivalente em Y.
Dados: RA = 40 Ω, RB = 15 Ω, RC = 20 Ω Figura 1 O circuito equivalente em Y é apresentado na Figura 2 a seguir:

Figura 2
Assinale a alternativa que apresenta os valores para R1, R2 e R3 no circuito equivalente em Y.
Provas
Questão presente nas seguintes provas