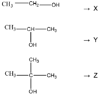
As reações orgânicas são frequentemente representadas por meio de equações abreviadas, nas quais são colocadas apenas os principais reagentes e produtos orgânicos. Considere as seguintes reações de oxidação dos compostos de alcoóis.

Com base nessas informações, assinale a alternativa INCORRETA.