Magna Concursos
354780 Ano: 2018
Disciplina: Matemática
Banca: FADESP
Orgão: IF-PA

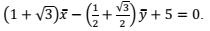
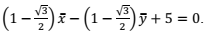
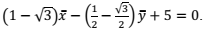
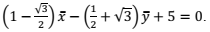
Considere o sistema cartesiano ortogonal s1 = (0,x,y) no plano. Sejam o ponto P = (2,3) e a reta r : 2x-y +5 = 0. Seja enunciado 354780-1 o sistema obtido pela rotação do sistema s1 de π/3 radianos no sentido anti-horário. Então, a equação da reta r no sistema enunciado 354780-2 é dada por

 

Provas

Questão presente nas seguintes provas

Professor PEBTT - Matemática

60 Questões