
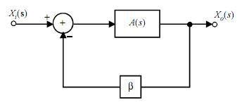
Considere a figura acima, que representa o diagrama de um sistema linear com realimentação, cuja função de transferência em malha aberta é A(s), em que a frequência no domínio da transformada de Laplace é s, e a entrada e a saída desse sistema são representadas, respectivamente, por
A função de transferência,
do sistema acima representado é dada por 
Provas
Questão presente nas seguintes provas
Analista de Correios - Engenharia Eletrônica
120 Questões