A rede de precedências das atividades do cronograma físico da questão anterior é representada no esquema abaixo:

O tempo de execução das atividades (caminho crítico), considerando o tempo em dias de cada atividade e rede de precedência acima, é de:
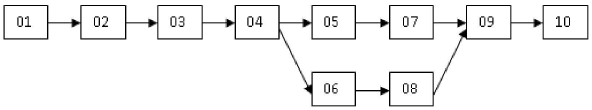
A rede de precedências das atividades do cronograma físico da questão anterior é representada no esquema abaixo:

O tempo de execução das atividades (caminho crítico), considerando o tempo em dias de cada atividade e rede de precedência acima, é de: