Magna Concursos

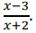
Ao simplificar a expressão Enunciado 4645187-1 obtemos

 

Provas

Questão presente nas seguintes provas

Agente Comunitário de Saúde

35 Questões

Agente de Combate às Endemias

35 Questões

Assistente de Ensino Fundamental

35 Questões

Auxiliar de Farmácia

35 Questões

Auxiliar de Odontólogo

35 Questões

Auxiliar de Secretaria

35 Questões

Controlador Interno

35 Questões

Facilitador Educacional de Cursos

35 Questões

Fiscal Ambiental

35 Questões

Fiscal Arrecadador

35 Questões

Fiscal da Vigilância Sanitária

35 Questões

Fiscal de Posturas e Edificações

35 Questões

Monitor - CMEI

35 Questões

Técnico - Topografia e Agrimensura

35 Questões

Técnico de Enfermagem

35 Questões