Magna Concursos
405481 Ano: 2017
Disciplina: Engenharia Elétrica
Banca: IFB
Orgão: IFB

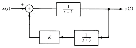
Considerando o seguinte sistema realimentado

Enunciado 405481-1

Para quais valores de K o sistema será criticamente amortecido?

Questão Anulada

Provas

Questão presente nas seguintes provas

Professor PEBTT - Engenharia Elétrica

50 Questões