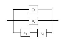
Uma das maneiras encontradas para aumentar a confiabilidade de um sistema é o emprego de peças / sub-sistemas que atuam em um arranjo em paralelo (redundância em standby). Para o sistema mecânico representado abaixo, sendo p a confiabilidade de cada componente e sendo todos os componentes idênticos e independentes, a expressão que representa a confiabilidade total do sistema (Rs) é:
