Magna Concursos
1425231 Ano: 2008
Disciplina: Matemática
Banca: CESPE / CEBRASPE
Orgão: UEPA
Provas:

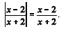
Assinale a opção correspondente ao conjunto dos valores reais de x tais que

enunciado 1425231-1

 

Provas

Questão presente nas seguintes provas

Técnico - Matemática

40 Questões