2406721
Ano: 2010
Disciplina: TI - Desenvolvimento de Sistemas
Banca: CESPE / CEBRASPE
Orgão: INMETRO
Disciplina: TI - Desenvolvimento de Sistemas
Banca: CESPE / CEBRASPE
Orgão: INMETRO

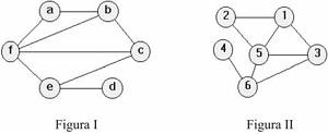
Com relação aos grafos ilustrados nas figuras I e II acima e no que se refere à teoria dos grafos, assinale a opção correta.