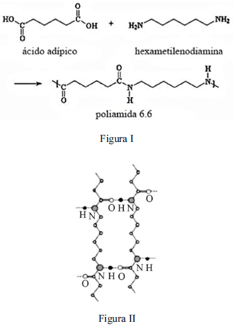
Há 90 anos, em 1927, a empresa norte-americana DuPont, em parceria com químicos da Universidade de Harvard, desenvolveu um polímero a partir da reação entre o ácido adípico e a hexametilenodiamina, que recebeu o nome de poliamida 6.6, cujo nome comercial é nylon 6-6. Ainda hoje, o nylon 6-6 é usado, industrialmente, na composição de tecidos e na fabricação de pneus, cordas etc., pelas suas propriedades de alta resistência à tensão e ao desgaste. As figuras seguintes ilustram (I) a reação da síntese da poliamida 6.6 (mostrando uma unidade polimérica) e (II) a estrutura tridimensional do nylon 6-6, denominada forma α.

I. M. Factori. Processamento e propriedades de compósitos de poliamida 6.6 reforçada com partículas de vidro reciclado. Dissertação (Mestrado) – USP, São Paulo, 2009. Internet: <http://www.teses.usp.br> (com adaptações).
Acerca desse tema, assinale a opção correta