Magna Concursos
186865 Ano: 2018
Disciplina: Matemática
Banca: FCC
Orgão: SABESP
Provas:

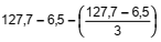
Uma pessoa saiu de casa com R$ 127,70 e foi de carro até a loja Maravilha, onde gastou R$ 6,50 de estacionamento e um quarto do restante em produtos. Em seguida, foi até o mercado Fartura e gastou um terço do que ainda possuía.

A expressão numérica que representa o valor que foi gasto no mercado Fartura, em reais, é

 

Provas

Questão presente nas seguintes provas

Técnico de Informática

50 Questões