Magna Concursos
1440343 Ano: 2004
Disciplina: Matemática
Banca: FGV
Orgão: BESC
Provas:

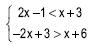
As soluções simultâneas das inequações enunciado 1440343-1 são os valores reais de x tais que:

 

Provas

Questão presente nas seguintes provas

Assistente Administrativo

80 Questões