Considerando os conceitos relacionados à da mecânica dos sólidos, julgue o próximo item.
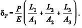
Considere que a barra escalonada, feita em alumínio com módulos de elasticidade E, esquematizada na figura a seguir, esteja submetida a uma carga axial de tração P. Na condição mostrada, a elongação total da barra pode ser calculada pela equação

Considere que a barra escalonada, feita em alumínio com módulos de elasticidade E, esquematizada na figura a seguir, esteja submetida a uma carga axial de tração P. Na condição mostrada, a elongação total da barra pode ser calculada pela equação
