Magna Concursos
1162801 Ano: 2019
Disciplina: Matemática
Banca: Excelência
Orgão: Pref. Taubaté-SP

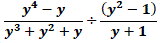
Simplifique a expressão numérica a seguir:

Enunciado 1162801-1

Supondo y3 + y2 + y ≠ 0, y ≠ 1 e y ≠ −1.

 

Provas

Questão presente nas seguintes provas

Agente Fiscal de Transporte Público

50 Questões

Inspetor de Alunos

50 Questões