Magna Concursos
2845620 Ano: 2022
Disciplina: Matemática
Banca: IFPI
Orgão: IFPI

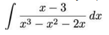
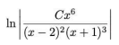
Uma solução para a integral indefinida Enunciado 3205630-1está na alternativa:

 

Provas

Questão presente nas seguintes provas

Professor PEBTT - Matemática

60 Questões