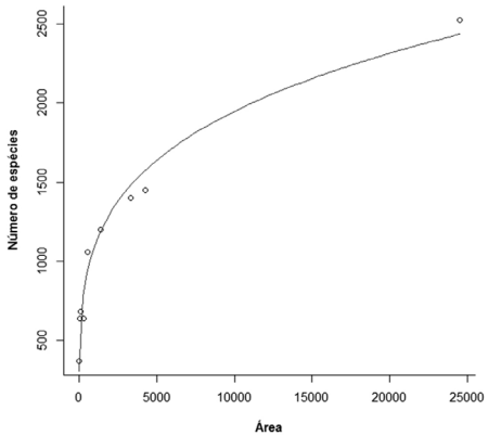
Estudos em comunidades de ilhas revelam que quanto maior o tamanho da ilha, maior a quantidade de espécies. Essa relação espécie-área pode ser aplicada para as taxas de extinção por perda de habitat. Considere o gráfico, que apresenta o número de espécies em uma determinada comunidade, de acordo com o tamanho da área disponível:

Fonte: EcoVirtual. Biogeografia de ilhas - Roteiro no EcoVirtual com Rcmdr. Gráfico: “Menina eu vou pra Califórnia...”. Disponível em: http://ecovirtual.ib.usp.br/doku.php?id=ecovirt:roteiro:neutr:biogeorcmdr. Último acesso em: 01/02/2019
De acordo com o gráfico, é CORRETO afirmar: