Magna Concursos
1658410 Ano: 2007
Disciplina: Engenharia Mecânica
Banca: NCE-UFRJ
Orgão: Eletrobrás
Provas:

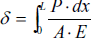
A deformação total de uma barra (enunciado 1658410-1) de comprimento L, submetida a um esforço axial P, cuja área (A) é variável na direção x (direção do carregamento) é dada por:

onde E -> módulo de elasticidade do material.
 

Provas

Questão presente nas seguintes provas

Engenheiro Mecânico

70 Questões