Magna Concursos
939950 Ano: 2009
Disciplina: Matemática
Banca: CESGRANRIO
Orgão: BNDES
Provas:
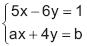
Para que o sistema linear enunciado 939950-1possua infinitas soluções, os valores de a e b devem ser tais que enunciado 939950-2valha
 

Provas

Questão presente nas seguintes provas

Técnico de Arquivologia

50 Questões