Magna Concursos
3099618 Ano: 2024
Disciplina: Matemática
Banca: FAUEL
Orgão: Pref. Maringá-PR
Provas:

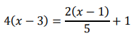
Assinale a alternativa que apresenta CORRETAMENTE o valor de x que satisfaz a equação a seguir.

Enunciado 3099618-1

 

Provas

Questão presente nas seguintes provas

Técnico - Som

50 Questões