Magna Concursos
2490747 Ano: 2014
Disciplina: Química
Banca: UECE
Orgão: UECE
Provas:

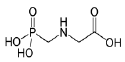
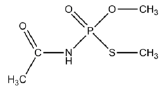
Defensivos agrícolas, chamados comumente de agrotóxicos, são produtos químicos utilizados para combater pragas e doenças que comprometem a produtividade da lavoura e provocam até mesmo a morte de plantas. Quando aplicados em excesso e sem controle, são ofensivos ao ser humano. Existem cerca de 200 tipos de agrotóxicos diferentes e o Brasil é um dos principais consumidores. Aliás, muitos desses compostos são proibidos em outros países, mas no Brasil são utilizados em larga escala sem uma preocupação em relação aos males que podem causar. Assinale a afirmação verdadeira em relação à característica dos agrotóxicos abaixo.

 

Provas

Questão presente nas seguintes provas

Vestibular

272 Questões