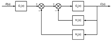
A figura abaixo mostra o diagrama de blocos de um sistema de controle. A função de transferência desse sistema é igual a
!$ { \Large { G_1(S) G_2(S) \over 1 + G_2(S)[H_1(S) - H_2(S)]}} !$
!$ { \Large { G_2(s) \over 1 + G_1(s) H_1(s) H_2(s)}} !$
!$ { \Large { G_1 (s) H_1(s) \over 1-G_2(s)H_2(s)}} !$
!$ { \Large { G_2(s) \over 1+ G_1(s) [ H_2 (s) - H_1(s)]}} !$
Olá, para continuar, precisamos criar uma conta! É rápido e grátis.