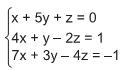
Considere o sistema a seguir.

Nesse sistema, o valor de x é

Nesse sistema, o valor de x é
Provas
Questão presente nas seguintes provas
Engenheiro de Manutenção Pleno - Mecânica
60 Questões
Engenheiro de Processamento
60 Questões
Engenheiro Eletricista
60 Questões