Magna Concursos
2698999 Ano: 2004
Disciplina: Química
Banca: CESPE / CEBRASPE
Orgão: Petrobrás
Laranja mecânica
O que faz uma laranja ter gosto de laranja é o resultado da combinação de sessenta moléculas diferentes, classificadas em cinco grupos de substâncias químicas — terpenos, ésteres, aldeídos, hidrocarbonetos e álcoois.
A tabela a seguir apresenta as características básicas desses grupos na composição do gosto da laranja, e a figura ilustra a fórmula estrutural do limoneno, um exemplo de molécula do grupo dos terpenos.
Enunciado 2803785-1
Metamorfoses saborosas
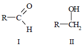
Às vezes, os gostos e os aromas vêm de fontes inusitadas. É fácil imaginar que não existe nada de canela no chiclete que tem esse sabor escrito no rótulo. O que pouca gente sabe é que, para fazer o chiclete de canela, usa-se um produto natural completamente diferente: a amêndoa. Simplesmente, fica mais barato para o fabricante. O químico aromista pega a amêndoa, isola a substância desejada e a submete a uma reação de oxidação. Ou seja, acrescenta oxigênio à sua estrutura molecular. O resultado é uma mudança nas suas propriedades, entre as quais o gosto e o aroma. Exemplos desse processo são ilustrados a seguir.
Enunciado 2803785-2
João Luiz Guimarães. A oficina do sabor. In: Superinteressante, n.º 123, dez./1997, p. 34-9 (com adaptações).
Tendo como referência os textos apresentados acima, julgue o item que se segue.
As figuras I e II a seguir poderiam representar corretamente as moléculas do decenal e do decanol, se os grupos indicados por R em ambas as estruturas forem iguais.
Enunciado 2803785-3
 

Provas

Questão presente nas seguintes provas

Analista - Comércio e Suprimentos

175 Questões