Três pessoas organizaram um negócio entrando com capitais
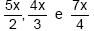
(x é natural positivo e os valores estão em reais). Ao final do primeiro mês de negócio, o só- cio que recebeu a menor parcela do lucro total ganhou R$ 1600,00. Sabendo que os três sócios repartem o lucro proporcionalmente ao capital que cada um investiu no ne- gócio, o lucro total do negócio ao final do primeiro mês, em reais, foi de
(x é natural positivo e os valores estão em reais). Ao final do primeiro mês de negócio, o só- cio que recebeu a menor parcela do lucro total ganhou R$ 1600,00. Sabendo que os três sócios repartem o lucro proporcionalmente ao capital que cada um investiu no ne- gócio, o lucro total do negócio ao final do primeiro mês, em reais, foi de