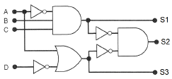
Avalie o circuito lógico da figura a seguir e determine os estados das saídas S1, S2 e S3, quando os sinais de entrada estiverem nos seguintes níveis lógicos: (A = 1, B = 0, C = 0, e D =1).

Avalie o circuito lógico da figura a seguir e determine os estados das saídas S1, S2 e S3, quando os sinais de entrada estiverem nos seguintes níveis lógicos: (A = 1, B = 0, C = 0, e D =1).
