Magna Concursos
2845617 Ano: 2022
Disciplina: Matemática
Banca: IFPI
Orgão: IFPI
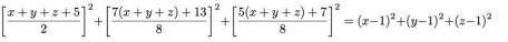
Uma superfície é obtida pela rotação da curva Enunciado 3205627-1quando gira em torno do eixo Enunciado 3205627-2 A equação dessa superfície é igual a:
 

Provas

Questão presente nas seguintes provas

Professor PEBTT - Matemática

60 Questões