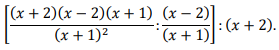
Simplifique a seguinte expressão, em que x ≠ -1, x ≠ -2 e x ≠ 2:

Assinale a alternativa que corresponde à simplificação correta.
Simplifique a seguinte expressão, em que x ≠ -1, x ≠ -2 e x ≠ 2:

Assinale a alternativa que corresponde à simplificação correta.