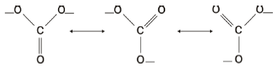
As três estruturas do íon carbonato seguem a regra do octeto, e os elétrons não ligantes não se encontram representados.

Assinale a alternativa CORRETA em relação às estruturas:
As três estruturas do íon carbonato seguem a regra do octeto, e os elétrons não ligantes não se encontram representados.

Assinale a alternativa CORRETA em relação às estruturas: