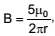
Uma espira retangular de lados a e b está sujeita a um
campo magnético não uniforme, cujo módulo é dado por
onde r é a distância entre a espira e o eixo de
referência X , conforme a Figura abaixo:

Uma espira retangular de lados a e b está sujeita a um
campo magnético não uniforme, cujo módulo é dado por
onde r é a distância entre a espira e o eixo de
referência X , conforme a Figura abaixo:
