
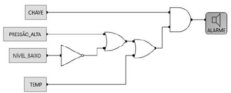
O sistema digital precedente ativa o alarme de óleo do motor de um automóvel. O circuito funciona da seguinte forma:
• o sinal PRESSÃO_ALTA identifica que a pressão do óleo do motor está acima do valor máximo de operação e é ativo em nível lógico alto;
• o sinal NÍVEL_BAIXO identifica que o nível do óleo do motor está abaixo do valor mínimo de operação e é ativo em nível lógico baixo;
• o sinal TEMP identifica que a temperatura do óleo do motor está acima do valor máximo de operação e é ativo em nível lógico alto;
• o sinal CHAVE identifica que o automóvel está ligado e é ativo em nível lógico alto.
A partir do sistema digital e das considerações apresentados, julgue o item subsequente.
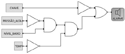
O sistema digital representado a seguir terá as mesmas respostas que o circuito em consideração.
