Magna Concursos
1284502 Ano: 2019
Disciplina: Química
Banca: FADURPE
Orgão: CESMAC
Provas:
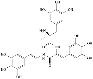
O vanádio é considerado um elemento importante para a bioquímica de muitos seres vivos. Certos animais marinhos, como a Ascidia nigra, do subfilo Tunicata, acumulam vanádio em seu sangue devido à presença do pigmento Tunicromo-B1. A concentração de vanádio nas Tunicatas chega a ser 10 7 vezes maior que na água do mar. A estrutura do Tunicromo-B1 está representada abaixo.
enunciado 2075502-1
Acerca da estrutura do Tunicromo-B1, são realizadas algumas afirmações:
1) Em sua estrutura, são encontrados dois carbonos sp 3.
2) A fórmula molecular do Tunicromo-B1 é C 26H 26O 11N 3.
3) São encontradas duas aminas secundárias e uma amina primária.
Está(ão) correta(s) a(s) afirmativa(s):
 

Provas

Questão presente nas seguintes provas