Considere a função f: IR→R, dada por y = f(x) = ax2
+ bx + c,
com a ≠ 0.
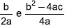
A forma canônica da função f é y = f(x) = a(x – h)2 + k, em que h e k indicam elementos importantes na construção da representação gráfica da função f.
Os valores de h e de k são, correta e respectivamente,
A forma canônica da função f é y = f(x) = a(x – h)2 + k, em que h e k indicam elementos importantes na construção da representação gráfica da função f.
Os valores de h e de k são, correta e respectivamente,