Magna Concursos
564730 Ano: 2010
Disciplina: Matemática
Banca: UFLA
Orgão: UFLA
Provas:
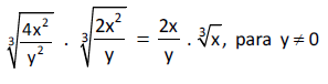
Assinale a alternativa INCORRETA.

 

Provas

Questão presente nas seguintes provas

Analista de TI

60 Questões