Magna Concursos
995268 Ano: 2017
Disciplina: Química
Banca: FUVEST
Orgão: USP
Provas:
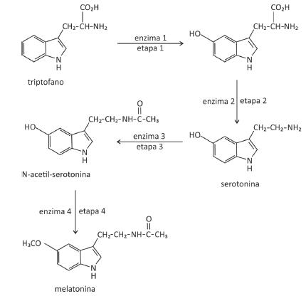
O hormônio melatonina é responsável pela sensação de sonolência. Em nosso organismo, a concentração de melatonina começa a aumentar ao anoitecer, atinge o máximo no meio da noite e decresce com a luz do dia. A melatonina é sintetizada a partir do aminoácido triptofano, em quatro etapas catalisadas por diferentes enzimas, sendo que a enzima 3 é degradada em presença de luz.
enunciado 2050353-1
Considere as seguintes afirmações a respeito desse processo:
I. Na etapa 2, há perda de dióxido de carbono e, na etapa 3, a serotonina é transformada em uma amida.
II. A manipulação de objetos que emitem luz, como celulares e tablets, pode interromper ou tornar muito lento o processo de transformação da serotonina em N-acetil serotonina.
III. O aumento da concentração de triptofano na corrente sanguínea pode fazer com que a pessoa adormeça mais lentamente ao anoitecer.
É correto o que se afirma em
 

Provas

Questão presente nas seguintes provas

Vestibular

80 Questões