Magna Concursos
2193674 Ano: 2017
Disciplina: Engenharia Eletrônica
Banca: IF-SC
Orgão: IF-SC

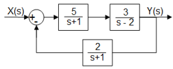
Assinale a alternativa que contenha o CORRETO diagrama de blocos equivalente à função de transferência apresentada abaixo:

!$ {\large{Y(s) \over X(s)}}={\large{10s+10 \over s^3+3s^2+2s+30}} !$

Questão Anulada

Provas

Questão presente nas seguintes provas

Professor PEBTT - Sistemas de Controle

40 Questões