Magna Concursos
1248783 Ano: 2019
Disciplina: Matemática
Banca: FAFIPA
Orgão: Fund Foz
Provas:

Após analisar os itens a seguir, assinale a alternativa CORRETA:


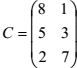
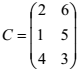
I. Fazendo o produto da matriz enunciado 1248783-1 pela matriz enunciado 1248783-2 obtemos como resultado a matriz enunciado 1248783-3.

II. A matriz enunciado 1248783-4 é a matriz transposta da matriz enunciado 1248783-5 .

III. A matriz enunciado 1248783-6 é uma matriz de ordem 3x3 e seu determinante é igual a 1.

 

Provas

Questão presente nas seguintes provas

Contador

70 Questões