Magna Concursos
Questões
Planos
Entrar
Entrar
Criar Conta
Respondida
625087
Ano:
2013
Disciplina:
Engenharia Elétrica
Banca:
CESPE / CEBRASPE
Orgão:
Min. Saúde
Provas:
Engenheiro Eletricista
Provas
×
Circuitos Elétricos
Circuitos CA
Circuitos Elétricos
Circuitos CC
Com base nessas informações, julgue os itens a seguir.
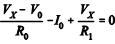
Considerando-se como referência os circuitos nas figuras I e II, é correto afirmar que o valor da tensão
V
X
pode ser calculado por meio da equação
.
C
Certo
E
Errado
Resolver
Comentários
0
×
Cadernos
×
Flashcards
×
Estatísticas
×
Reportar um erro
×
Provas
Questão presente nas seguintes provas
Engenheiro Eletricista
120 Questões
Resolver Prova
Publicar
Responder
Qual o problema da questão?
Selecione uma opção
Questão Desatualizada
Questão Repetida
Gabarito Errado
Outros Motivos
Mensagem
Enviar
Acessar
Criar Conta
Acesse sua Conta
Google
Facebook
Esqueci minha senha
Acessar
Ainda não tem conta?
Crie uma
!
Crie uma Conta
Criar Conta
Olá, para continuar, precisamos criar uma conta!
É
rápido
e
grátis
.
Google
Facebook
Concordo com os
Termos de Uso
Criar
Já tem uma conta?
Acesse aqui