Magna Concursos
130448 Ano: 2012
Disciplina: Matemática
Banca: MS CONCURSOS
Orgão: CIJUN
Provas:
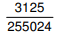
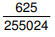
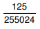
Em uma urna há 5 bolas amarelas, 5 bolas brancas, 5 bolas cinzas, 5 bolas vermelhas e 5 bolas pretas, todas feitas com mesmo material e de mesmo tamanho. Se tirarmos 5 bolas desta caixa, uma a uma, sem reposição, qual a probabilidade de tirarmos as bolas na seguinte ordem de cores: amarela, branca, cinza, vermelha e preta?
 

Provas

Questão presente nas seguintes provas

Secretária Executiva

40 Questões