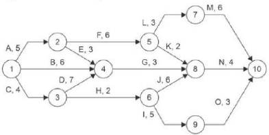
O planejamento da construção de uma nova obra comercial seguiu o cronograma PERT-CPM a seguir, no qual as atividades são representadas por letras, seguidas de suas durações em semanas.

Da análise do cronograma conclui-se que o prazo para conclusão da obra é de