Magna Concursos
576776 Ano: 2012
Disciplina: TI - Desenvolvimento de Sistemas
Banca: UFT
Orgão: DPE-TO
Provas:
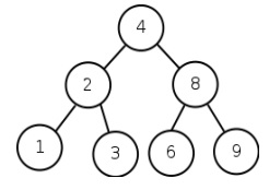
Analise a árvore de busca binária abaixo e responda a questão.

enunciado 576776-1
Marque a alternativa CORRETA que representa o resultado do caminhamento pós-ordem na árvore acima.

 

Provas

Questão presente nas seguintes provas

Analista de TI

80 Questões